Toggle navigation
Байгууллага
Танилцуулга
Захирал
Бидний тухай
Алсын хараа
Эрхэм зорилго
Үнэт зүйл
Үйл ажиллагааны стратегийн зорилт
Байгууллагын гавьяа шагнал
Бүтэц зохион байгуулалт
Санхүүжилт менежментийн алба
Инженер техникийн алба
Уран бүтээл, техникийн алба
Маркетинг үйлчилгээний алба
Соёл Эрдэнэ хамтлаг, Эртний сайхан чуулга
Уран бүтээлчид
"Эртний сайхан" чуулга
"Соёл Эрдэнэ" хамтлаг
Б.Хонгор
Холбоо барих
Үйлчилгээ
Их танхимын түрээс
Оффисын түрээс
Тасалбар худалдан авах
Үйлчилгээний орчин
Үйл ажиллагааны үндсэн чиглэл
Мэдээ
Тоглолтын мэдээлэл
Соёл урлагийн мэдээлэл
Цаг үеийн мэдээлэл
Гадаад хамтын ажиллагаа
Ил тод байдал
Байгууллагын ил тод байдал
Байгууллагын төлөвлөгөө
Байгууллагын тайлан
Тендер, Худалдан авалт
Төсөв санхүүгийн ил тод байдал
Аудит үнэлгээ
Төрийн, байгууллагын зардлаар суралцагчдын мэдээ
Гадаад томилолтын талаарх мэдээлэл
Хөрөнгө оруулалтын дэлгэрэнгүй мэдээлэл
Улсын төсвийн хөрөнгө, гадаадын зээл тусламж
Хэрэглэгчийн судалгаа
Иргэдийг хүлээн авч уулзах цагийн хуваарь
Өргөдөл гомдол шийдвэрлэлтийн тайлан
НСТӨний даргын тушаал
Ирсэн бичгийн шийдвэрлэлтийн мэдээ
Хууль эрх зүйн ил тод байдал
МУ-ын хууль
Салбарын хууль
МУ-ын засгийн газрын тогтоол, шийдвэр
НИТХ-ын тэргүүлэгчдээс гарсан тогтоол
НЗД-ын үйл ажиллагааны хөтөлбөр
НЗД-ын захирамж
Байгууллагаас гарсан дүрэм, журмууд
Авлига
Архив, албан хэрэг хөтлөлт
Хүний нөөцийн ил тод байдал
Хүний нөөцийн хөгжлийн хөтөлбөр
Хүний нөөцийн холбогдох дүрэм журам
Нээлттэй ажлын байр
Шинээр ажилд орсон болон гарсан албан хаагчид
Албан хаагчдын үр дүнгийн болон хөдөлмөрийн гэрээ
Өргөдлийн маягт
Халамжийн зардлын мэдээлэл
Шилэн Данс
EN
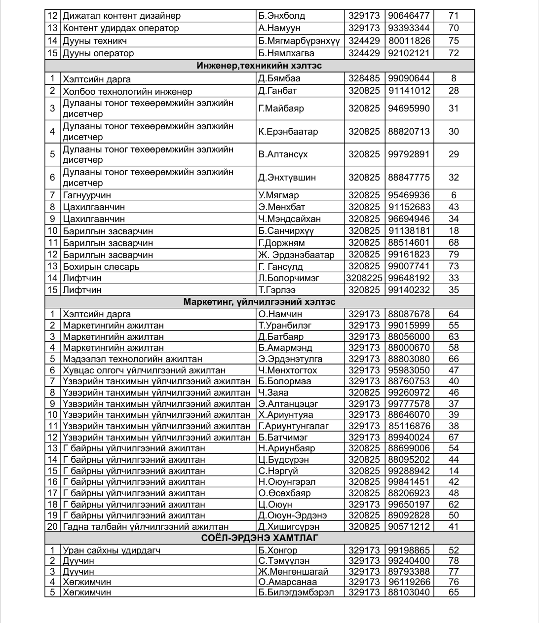
НСТӨ-ний ажилтнуудын утасны жагсаалт 2025 оны 6 сар
НСТӨ-ний ажилтнуудын утасны жагсаалт 2025 оны 6 сар
2025 оны 06 сарын 24